GC-340 Order Appointing Probate Conservator
This form is filed along with your initial GC310 Petition for Appointment of Probate Conservator. Beyond the first page header information, there is little to fill out as most of the form is filled out by the court. This form is used by the court to communicate to you what it finds, notify you that your petition as conservator(s) has been accepted, type of conservatorship, and what powers are granted to the conservator. The order is not effective until the Letters of Conservatorship (GC-350) form is issued. Usually the Order and Letters of Probate Conservator come to you in the mail on the same day.
Some courts may not let you file the GC-340 form until after the hearing. There is little on the form that you have to fill out. Most is filled out by the court after the hearing. Most court clerks will allow you to file the GC-340 in your first filing, since they hold the filed forms until the court requests them.
Since there is little to fill out on this form, the Notes after each page will talk about what you will most likely see when the order is returned to you. Most of the lines of this form are for adults (senior citizens) that have mental incapacitation and an estate. There are fewer lines that will be checked for a child with autism that is or has recently become an adult.
Form Links
Filled in Example GC-340 Form
- You can edit the example Doe form to your situation, print, and file it at your local California Superior Court. The form is the same as the one you can get from a California Superior Court Website.
Blank GC-340 Form
http://www.courts.ca.gov/forms.htm?filter=GC California Probate Conservatorship Complete List Downloadable
Content
The each page notes are below the respective image of the form page.GC-340 Page 1 Notes
GC-340 Page 2 Notes
GC-340 Page 3 Notes
GC-340 Attachments Notes Page 1
GC-340 Attachments Notes Page 2
GC-340 Form in HTML so it can be Translated

Page 1 Notes
You fill out the top header information similar to what is shown in the example.The court will fill out:
1. The appropriate names, hearing date, and information
The Court Finds
4. Will be filled with the name of conservatee with a and b boxes checked depending on the capabilities of the conservatee.
5. Either box a or b will be checked.
6. Will be checked depending on the conservatee’s capacity.
8. Will be checked depending on the conservatee’s ability.
Top

Page 2 Notes
10. Will be checked with the name of the court appointed attorney for the conservatee during the proceedings.11. Will be checked if the conservatee was present at the hearing.
12. Will be checked with the name of the court investigator. It is important to note the court investigator in case you have any questions.
13. Will be checked.
16. a. Will be checked.
17. a. Will be checked.
The Court Orders
18. a Your name (s), address, telephone number, limited conservator box checked, and your child’s name (conservatee).
19. May or may not be checked.
20. a. will be checked.
Top

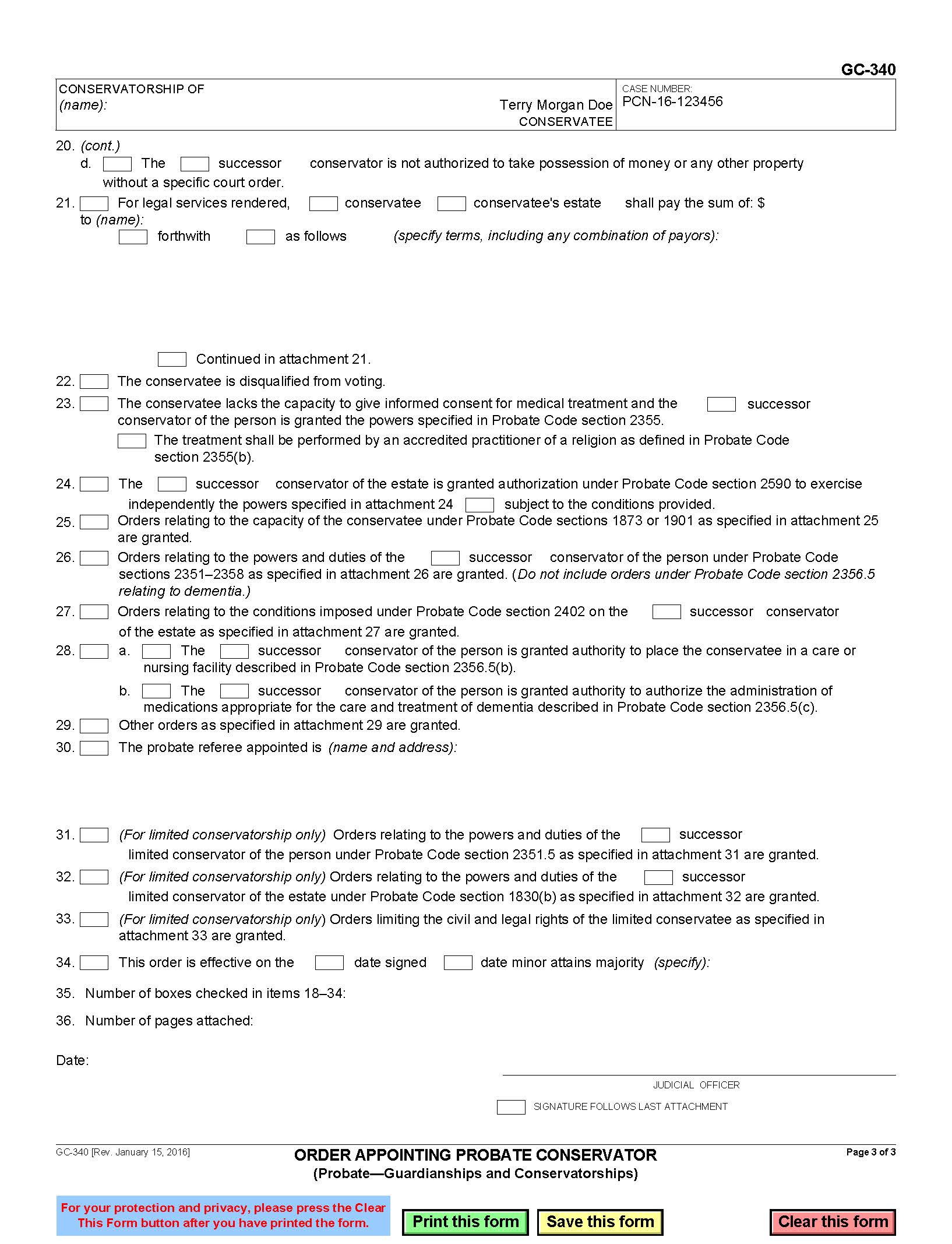
Page 3 Notes
22. Will most likely be checked.31. Will be checked. You are applying for a limited conservatorship so you are using the above Probate Code section § 2351.5.
Probate Code section § 2351.5 is included in Page 2 notes of GC-310 Petition for Appointment of Probate Conservator. Link to Probate Code section 2351.5
33. Will be checked
34. The first box will be checked and either of the other two will be checked.
35. Number of boxes checked in items 18-34: most likely -8
36. Number of pages attached: most likely- 2
Top

GC-340 Attachments Notes Page 1
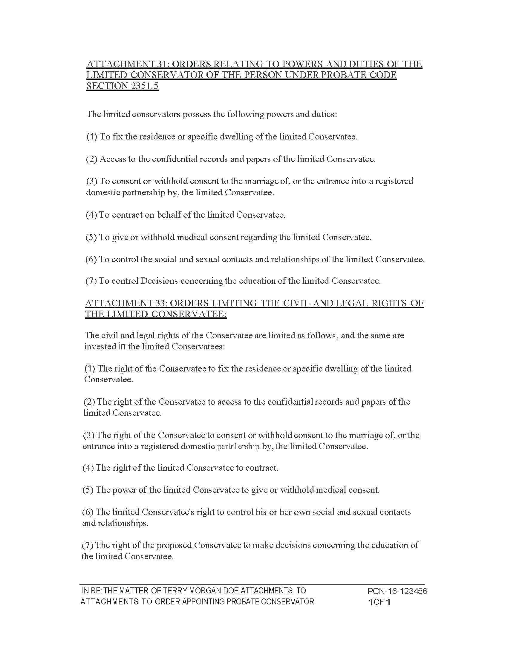
Attachment 31: Orders Relating to Powers and Duties of the Limited Conservator of the Person Under Probate Codes Section § 2351.5This lists the powers and duties granted to the conservator(s).
This will look similar to the list in attachment 1j in your original GC-310 Petition for Appointment Probate Conservator unless the judge has ruled that the conservatee retain a right(s).
Attachment 33: Orders Limiting the Civil and Legal Rights of the Limited Conservatee
This lists the civil and legal rights that the conservatee (your child) does not have (limited). This should mirror the powers granted the conservator(s) in Attachment 31.
Top

GC-340 Attachments Notes Page 2
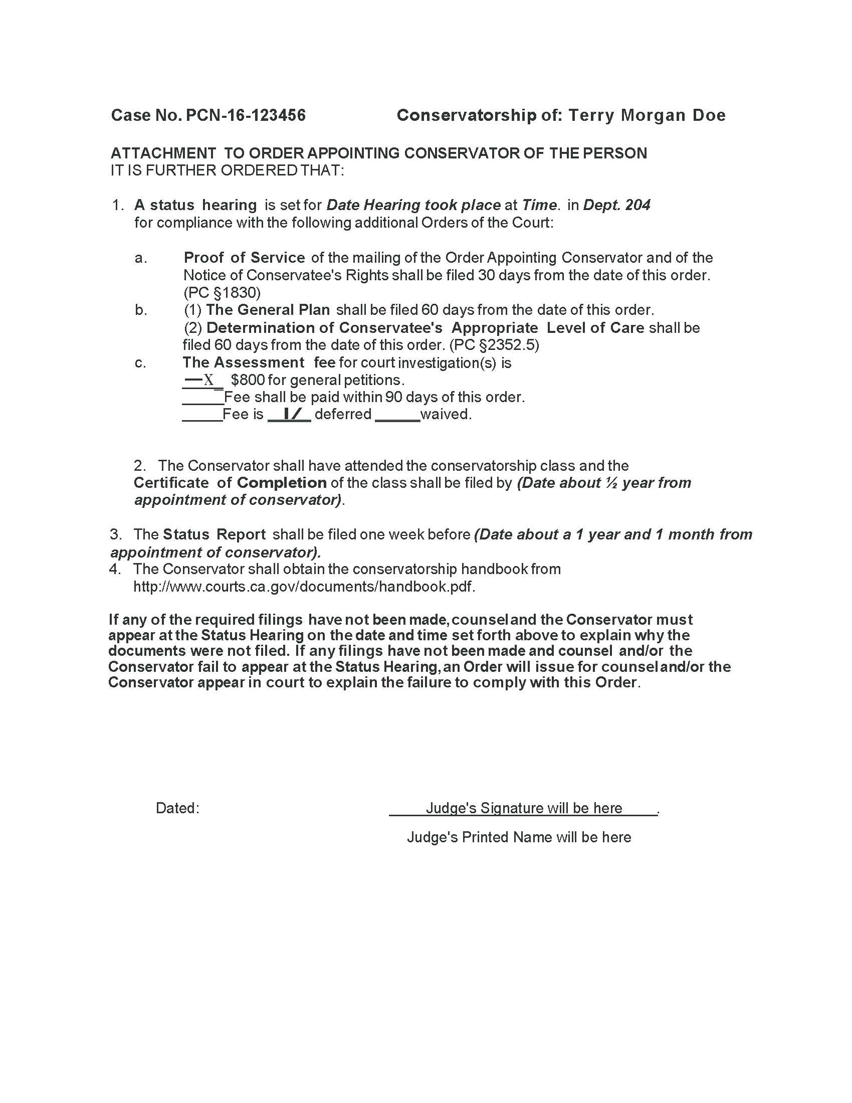
Attachment to Order Appoint Conservator of the PersonThis is the judge’s instructions and time line to you the conservator. If you have filed and done all of 1 a, b, and c, a status hearing set for you in 1 will not take place. The status hearing is if you have not completed 1. Failure to comply is explained in bold above the judge’s signature.
1. a) This is GC-341 Notice of Conservatee’s Rights. References PC § 1830 Note C below. GC-341 form will be gone into detail on its webpage along with who to mail the form to.
Probate Code § 1830. (a) The order appointing the conservator shall contain, among other things, the names, addresses, and telephone numbers of:
(1) The conservator.
(2) The conservatee’s attorney, if any.
(3) The court investigator, if any.
(b) In the case of a limited conservator for a developmentally disabled adult, any order the court may make shall include the findings of the court specified in Section 1828.5. The order shall specify the powers granted to and duties imposed upon the limited conservator, which powers and duties may not exceed the powers and duties applicable to a conservator under this code. The order shall also specify the following:
(1) The properties of the limited conservatee to which the limited conservator is entitled to possession and management, giving a description of the properties that will be sufficient to identify them.
(2) The debts, rentals, wages, or other claims due to the limited conservatee which the limited conservator is entitled to collect, or file suit with respect to, if necessary, and thereafter to possess and manage.
(3) The contractual or other obligations which the limited conservator may incur on behalf of the limited conservatee.
(4) The claims against the limited conservatee which the limited conservator may pay, compromise, or defend, if necessary.
(5) Any other powers, limitations, or duties with respect to the care of the limited conservatee or the management of the property specified in this subdivision by the limited conservator which the court shall specifically and expressly grant.
(c) An information notice of the rights of conservatees shall be attached to the order. The conservator shall mail the order and the attached information notice to the conservatee and the conservatee s relatives, as set forth in subdivision (b) of Section 1821, within 30 days of the issuance of the order. By January 1, 2008, the Judicial Council shall develop the notice required by this subdivision.
(Amended by Stats. 2007, Ch. 553, Sec. 8. Effective January 1, 2008.)
1. b. (1) The General Plan referred to is P-74 General Plan.
b. (2) Determination of Conservatee’s Appropriate Level of Care is GC-355.
Top
Probate Code § 2352.5. (a) It shall be presumed that the personal residence of the conservatee at the time of commencement of the proceeding is the least restrictive appropriate residence for the conservatee. In any hearing to determine if removal of the conservatee from his or her personal residence is appropriate, that presumption may be overcome by a preponderance of the evidence.
(b) Upon appointment, the conservator shall determine the appropriate level of care for the conservatee.
(1) That determination shall include an evaluation of the level of care existing at the time of commencement of the proceeding and the measures that would be necessary to keep the conservatee in his or her personal residence.
(2) If the conservatee is living at a location other than his or her personal residence at the commencement of the proceeding, that determination shall either include a plan to return the conservatee to his or her personal residence or an explanation of the limitations or restrictions on a return of the conservatee to his or her personal residence in the foreseeable future.
(c) The determination made by the conservator pursuant to subdivision (b) shall be in writing, signed under penalty of perjury, and submitted to the court within 60 days of appointment as conservator.
(d) The conservator shall evaluate the conservatee’s placement and level of care if there is a material change in circumstances affecting the conservatee’s needs for placement and care.
(e) (1) This section shall not apply to a conservatee with developmental disabilities for whom the Director of Developmental Services or a regional center for the developmentally disabled, established pursuant to Chapter 5 (commencing with Section 4620) of Division 4.5 of the Welfare and Institutions Code, acts as the conservator and who receives services from a regional center pursuant to the Lanterman Developmental Disabilities Act (Division 4.5 (commencing with Section 4500) of the Welfare and Institutions Code).
(2) Services, including residential placement, for a conservatee described in paragraph (1) who is a consumer, as defined in Section 4512 of the Welfare and Institutions Code, shall be identified, delivered, and evaluated consistent with the individual program plan process described in Article 2 (commencing with Section 4640) of Chapter 5 of Division 4.5 of the Welfare and Institutions Code.
(Amended by Stats. 2007, Ch. 130, Sec. 195. Effective January 1, 2008.)
1. c. The Assessment fee. If your fee has been waived because your adult child with autism has very little to no assets (Forms FW-1 and FW-3 has been filed and accepted) then the amount for the general petition will be shown and deferred will be checked. If your adult child with autism wins the lottery or receives an inheritance in their name they will have to pay back all deferred court fees. Inheritances can be set up to go to third party special needs trusts for your child with autism which is not an asset your child holds in their name. See Special Needs Trusts on the website.
2. You may be asked to attend a conservatorship class before a half year from your appointment as conservator(s). I do not know if this is standard in all courts. There is not a “Certificate of Completion” that you have to submit beyond what you sign and fill in during the conservatorship class. The person teaching the conservatorship class will submit attendance to the court.
3. This is an important date in the future to take note of to file a status report to the court.
4. The obtaining of the conservatorship handbook is redundant. In order to be appointed conservator a person must file form GC-348 Duties of Conservator and Acknowledgment of Receipt of Handbook for Conservators which you must sign.
GC-348 states above the signature: “ I acknowledge that I have received this statement of the duties and liabilities of the office of conservator, the Duties of Conservator (form GC-348), and the Handbook for Conservators adopted by the Judicial Council."
"I declare under penalty of perjury under the laws of the State of California that the foregoing is true and correct."
Top
GC-340 Form in HTML so it can be Translated
The GC-340 form is reproduced here in html so that it can easily be translated into multiple languages. You can not use this form to submit to court in any language. You have to use the GC-340 pdf form and English.GC-340
ATTORNEY OR PARTY WITHOUT ATTORNEY: STATE BAR NO.:
NAME: John Doe & Jane Doe
FIRM NAME:
STREET ADDRESS: 1234 ABC Street
CITY: San Francisco STATE: CA ZIP CODE: 94102
TELEPHONE NO.: 415-123-4567 FAX NO.:
E-MAIL ADDRESS: info@raisingautism.net
ATTORNEY FOR (name): Petitioners, In Pro Per
SUPERIOR COURT OF CALIFORNIA, COUNTY OF San Francisco
STREET ADDRESS: 400 MCALLISTER STREET
MAILING ADDRESS: 400 MCALLISTER STREET
CITY AND ZIP CODE: SAN FRANCISCO, CA 94102
BRANCH NAME: PROBATE
CONSERVATORSHIP OF
(name): Terry Morgan Doe
ORDER APPOINTING
SUCCESSOR
PROBATE CONSERVATOR OF THE
PERSON
ESTATE
Limited Conservatorship
NAME: John Doe & Jane Doe
FIRM NAME:
STREET ADDRESS: 1234 ABC Street
CITY: San Francisco STATE: CA ZIP CODE: 94102
TELEPHONE NO.: 415-123-4567 FAX NO.:
E-MAIL ADDRESS: info@raisingautism.net
ATTORNEY FOR (name): Petitioners, In Pro Per
SUPERIOR COURT OF CALIFORNIA, COUNTY OF San Francisco
STREET ADDRESS: 400 MCALLISTER STREET
MAILING ADDRESS: 400 MCALLISTER STREET
CITY AND ZIP CODE: SAN FRANCISCO, CA 94102
BRANCH NAME: PROBATE
CONSERVATORSHIP OF
(name): Terry Morgan Doe
(PROPOSED) CONSERVATEE
ORDER APPOINTING
PROBATE CONSERVATOR OF THE
FOR COURT USE ONLY
CASE NUMBER:
PCN-16-123456
WARNING: THIS APPOINTMENT IS NOT EFFECTIVE UNTIL LETTERS HAVE ISSUED
1. The petition for appointment of
(check boxes c, d, e, and for g to indicate personal presence):
a. Judicial officer (name):
b. Hearing date: Time:
Dept.:
Room:
c.
Petitioner (name): John Doe & Jane Doe
d.
Attorney for petitioner (name):
e.
Attorney for
person cited
the conservatee on petition to appoint successor conservator:
a. Judicial officer (name):
b. Hearing date: Time:
c.
d.
e.
(Name): (Telephone):
(Address):
(Address):
f.
Person cited was
present.
unable to attend.
able but unwilling to attend.
out of state.
g.
The conservatee on petition to appoint successor conservator was
present.
not present.
g.
THE COURT FINDS
2. All notices required by law have been given.3. Granting the conservatorship is the feast restrictive alternative needed for the protection of the conservatee.
4. (Name): Terry Morgan Doe
a.
is unable properly to provide for his or her personal needs for physical health, food, clothing, or shelter.
b.
is substantially unable to manage his or her financial resources or to resist fraud or undue influence.
c.
has voluntarily requested appointment 'of a conservator and good cause has been shown for the appointment.
5. The conservateeb.
c.
a.
is an adult.
b.
will be an adult on the effective date of this order. c. D is a married minor.
d.
is a minor whose marriage has been dissolved.
6. b.
d.
is to the advantage and benefit and in the best interest of the conservatorship estate.
8. process.
Do NOT use this form for a temporary conservatorship.
Page 1 of 3
Form Adopted for Mandatory Use
Judicial Council of California
GC-340 [Rev. January 15, 2016]
Judicial Council of California
GC-340 [Rev. January 15, 2016]
ORDER APPOINTING PROBATE CONSERVATOR
(Probate-Guardianships and Conservatorships)
(Probate-Guardianships and Conservatorships)
Probate Code, §§ 1830,2688
www.courts.ca.gov
www.courts.ca.gov
GC-340
CONSERVATORSHIP OF
(name): Terry Morgan Doe
(name): Terry Morgan Doe
CONSERVATEE
CASE NUMBER:
PCN-16-123456
PCN-16-123456
9.
make the orders specified in item 28.
10.
counsel to represent the conservatee in these proceedings. The cost for representation is: $
The conservatee has the ability to pay
all
none
a portion of this sum (specify): $
11. The conservatee has the ability to pay
12.
(Address and telephone):
13. 1420.
14. 6501(f).
15. the Professional Fiduciaries Bureau of the California Department of Consumer Affairs under chapter 6 (commencing with
section 6500) of division 3 of the Business and Professions Code.
License no.: Issuance or last renewal date: Expiration date:
16. (Either a, b, or c must be checked):
section 6500) of division 3 of the Business and Professions Code.
License no.: Issuance or last renewal date: Expiration date:
a.
The
successor conservator is not the spouse of the conservatee.
b.
The
successor conservator is the spouse of the conservatee and is not a party to an action or proceeding
b.
against the conservatee for legal separation, dissolution, annulment, or adjudication of nullity of their marriage.
c.
The
successor conservator is the spouse of the conservatee and is a party to an action or proceeding
against
the conservatee for legal separation, dissolution, annulment, or adjudication of nullity of their marriage. It is in the best interest of the conservatee to appoint the spouse as
successor conservator.
17. (Either a, b, or c must be checked):
a.
The
successor conservator is not the domestic partner or former domestic partner of the conservatee.
b. D The 0 successor conservator is the domestic partner of the conservatee and has neither terminated nor
b. D The 0 successor conservator is the domestic partner of the conservatee and has neither terminated nor
intends to terminate their domestic partnership.
c.
The 0 successor conservator is the domestic partner or former domestic partner of the conservatee and intends
to terminate or has terminated their domestic partnership. It is in the best interest of the conservatee to appoint the domestic partner or former domestic partner as
successor conservator.
THE COURT ORDERS
18. a. (Name): (Telephone):
(Address):
is appointed
successor
conservator
limited conservator of the PERSON of (name):
Terry Morgan Doe and Letters of Conservatorship shall issue upon qualification.
is appointed
Terry Morgan Doe and Letters of Conservatorship shall issue upon qualification.
b. (Name): (Telephone):
(Address):
is appointed
successor
conservator
limited conservator of the ESTATE of (name):
is appointed
and Letters of Conservatorship shall issue upon qualification.
19. 20. a.
b.
Bond is fixed at: $ to be furnished by an authorized surety company or as otherwise provided by law.
c.
Deposits of: $ are ordered to be placed in a blocked account at (specify institution and location):
c.
and receipts shall be filed. No withdrawals shall be made 'lithout a court order.
Additional orders in attachment 20c.
GC-340 [Rev. January 15, 2016]
ORDER APPOINTING PROBATE CONSERVATOR
(Probate-Guardianships and Conservatorships)
(Probate-Guardianships and Conservatorships)
Page 2 of 3
GC-340
CONSERVATORSHIP OF
(name): Terry Morgan Doe
(name): Terry Morgan Doe
CONSERVATEE
CASE NUMBER:
PCN-16-123456
PCN-16-123456
20. (cont.)
d.
The
successor conservator is not authorized to take possession of money or any other property
without a specific court order.
21. to (name):
23.
conservator of the person is granted the powers specified in Probate Code section 2355.
The treatment shall be performed by an accredited practitioner of a religion as defined in Probate Code
section 2355(b).
24. independently the powers specified in attachment 24
subject to the conditions provided.
25. are granted.
26. sections 2351-2358 as specified in attachment 26 are granted. (Do not include orders under Probate Code section 2356.5
relating to dementia.)
27. relating to dementia.)
of the estate as specified in attachment 27 are granted.
28. nursing facility described in Probate Code section 2356.5(b).
b.
The
successor conservator of the person is granted authority to authorize the administration of
medications appropriate for the care and treatment of dementia described in Probate Code section 2356.5(c).
29. 30.
31.
limited conservator of the person under Probate Code section 2351.5 as specified in attachment 31 are granted.
32. limited conservator of the estate under Probate Code section 1830(b) as specified in attachment 32 are granted.
33. attachment 33 are granted.
34. 35. Number of boxes checked in items 18-34:
36. Number of pages attached:
Date:
. JUDICIAL OFFICER .
GC-340 [Rev. January 15, 2016]
ORDER APPOINTING PROBATE CONSERVATOR
(Probate-Guardianships and Conservatorships)
(Probate-Guardianships and Conservatorships)
Page 3 of 3
ATTACHMENT 31: ORDERS RELATING TO POWERS AND DUTIES OF THE LIMITED CONSERVATOR OF THE PERSON UNDER PROBATE CODE SECTION 2351.5
The limited conservators possess the following powers and duties:
(1) To fix the residence or specific dwelling of the limited Conservatee.
(2) Access to the confidential records and papers of the limited Conservatee.
(3) To consent or withhold consent to the marriage of, or the entrance into a registered domestic partnership by, the limited Conservatee.
(4) To contract on behalf of the limited Conservatee.
(5) To give or withhold medical consent regarding the limited Conservatee.
(6) To control the social and sexual contacts and relationships of the limited Conservatee.
(7) To control Decisions concerning the education of the limited Conservatee.
ATTACHMENT 33: ORDERS LIMITING THE CIVIL AND LEGAL RIGHTS OF THE LIMITED CONSERVATEE:
The civil and legal rights of the Conservatee are limited as follows, and the same are invested in the limited Conservatees:(1) The right of the Conservatee to fix the residence or specific dwelling of the limited Conservatee.
(2) The right of the Conservatee to access to the confidential records and papers of the limited Conservatee.
(3) The right of the Conservatee to consent or withhold consent to the marriage of, or the entrance into a registered domestic partr1ership by, the limited Conservatee.
(4) The right of the limited Conservatee to contract.
(5) The power of the limited Conservatee to give or withhold medical consent.
(6) The limited Conservatee's right to control his or her own social and sexual contacts and relationships.
(7) The right of the proposed Conservatee to make decisions concerning the education of the limited Conservatee.
|
IN RE: THE MATTER OF TERRY MORGAN DOE ATTACHMENTS TO ORDER APPOINTING PROBATE CONSERVATOR |
PCN-16-123456 1 OF 1 |
| Case No. PCN-16-123456 | Conservatorship of: Terry Morgan Doe |
ATTACHMENT TO ORDER APPOINTING CONSERVATOR OF THE PERSON
IT IS FURTHER ORDERED THAT:
IT IS FURTHER ORDERED THAT:
1. A status hearing is set for Date Inserted at Time Inserted in Location Inserted for
compliance with the following additional Orders of the Court:
a. Proof of Service of the mailing of the Order Appointing Conservator and of
the Notice of Conservatee's Rights shall be filed 30 days from the date of this order. (PC §1830)
b. (1) The General Plan shall be filed 60 days from the date of this order.
(2) Determination of Conservatee's Appropriate Level of Care shall be filed 60 days from the date of this order. (PC §2352.5)
c. The Assessment fee for court investigation(s) is
__X___ $800 for general petitions.
______ Fee shall be paid within 90 days of this order.
______ Fee is ___X___ deferred ______ waived.
______ Fee shall be paid within 90 days of this order.
______ Fee is ___X___ deferred ______ waived.
2. The Conservator shall have attended the conservatorship class and the
Certificate of Completion of the class shall be filed by (Date about 1/2 year from appointment of conservator).
If any of the required filings have not been made, counsel and the Conservator must appear at the Status Hearing on the date and time set forth above to explain why the documents were not filed. If any filings have not been made and counsel and/or the Conservator fail to appear at the Status Hearing, an Order will issue for counsel and/or the Conservator appear in court to explain the failure to comply with this Order.
Certificate of Completion of the class shall be filed by (Date about 1/2 year from appointment of conservator).
3. The Status Report shall be filed one week before (Date about 1 year and 1 month from appointment of conservator).
4. The Conservator shall obtain the conservatorship handbook from
4. The Conservator shall obtain the conservatorship handbook from
If any of the required filings have not been made, counsel and the Conservator must appear at the Status Hearing on the date and time set forth above to explain why the documents were not filed. If any filings have not been made and counsel and/or the Conservator fail to appear at the Status Hearing, an Order will issue for counsel and/or the Conservator appear in court to explain the failure to comply with this Order.
| Dated: |
Judge's signature will appear here.
Judges Printed Name
|
Top